Skip to content

Minimally Different

Intelligently varied questions for Maths Teachers

  • Home

Minimally Different Exercises

  • Blog (18)
    • GCSE Resources (3)
  • Minimally Different Exercises (89)
    • Algebra (43)
      • Algebraic Fractions (6)
      • Brackets (5)
      • Changing the Subject (1)
      • Coordinate Geometry (1)
      • Functions (4)
      • Index Laws (2)
      • Inequalities (2)
      • Quadratics (5)
      • Sequences (4)
      • Simplifying (5)
      • Simultaneous Equations (2)
      • Solving Equations (9)
      • Substitution (2)
    • Number (34)
      • Decimals (3)
      • FDP (3)
      • Fractions (6)
      • Negative Numbers (4)
      • Percentages (3)
      • Place Value (1)
      • Ratio and Proportion (3)
      • Rounding and Estimation (3)
      • Standard Form (2)
      • Surds (7)
    • Shape (6)
      • Compound Measures (2)
        • Speed, Distance, Time (1)
      • Pythagoras (1)
      • Vectors (1)
    • Statistics (3)
      • Averages (2)
      • Charts and Graphs (1)
  • Straight Line Graphs (2)
  • Trigonometry (2)

Follow me on Twitter

My Tweets

Category: Substitution

Substitution

This set of questions has been created by the wonderful @PixiMaths!

Substitution (pdf)

Substitution (doc)substitution

Posted on April 14, 2018Categories Algebra, Minimally Different Exercises, Substitution1 Comment on Substitution

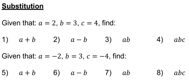
Substitution into Expressions

Substituting into Expressions

substitution into expressions

Posted on March 26, 2018April 14, 2018Categories Algebra, Minimally Different Exercises, SubstitutionLeave a comment on Substitution into Expressions
Blog at WordPress.com.
  • Subscribe Subscribed
    • Minimally Different
    • Join 64 other subscribers
    • Already have a WordPress.com account? Log in now.
    • Minimally Different
    • Subscribe Subscribed
    • Sign up
    • Log in
    • Report this content
    • View site in Reader
    • Manage subscriptions
    • Collapse this bar
 

Loading Comments...